
发布时间:2011-5-1
目前,很多功率型LED的驱动电流达到70mA、100mA甚至1A,这将会引起芯片内部热量聚集,导致发光波长漂移、出光效率下降、荧光粉加速老化以及使用寿命缩短等一系列问题。业内已经对大功率LED的散热问题作出了很多的努力:通过对芯片外延结构优化设计,使用表面粗化技术等提高芯片内外量子效率,减少无辐射复合产生的晶格振荡,从根本上减少散热组件负荷;通过优化封装结构、材料,选择以铝基为主的金属芯印刷电路板(MCPCB),使用陶瓷、复合金属基板等方法,加快热量从外延层向散热基板散发。多数厂家还建议在高性能要求场合中使用散热片,依靠强对流散热等方法促进大功率LED散热。
尽管如此,单个LED产品目前也仅处于1~10W级的水平,散热能力仍亟待提高。相当多的研究将精力集中于寻找高热导率热沉与封装材料,然而当LED功率达到lOW以上时,这种关注遇到了相当大的阻力。即使施加了风冷强对流方式,牺牲了成本优势,也未能获得令人满意的变化。
讨论在现有结构、LED封装及热沉材料热导率等因素变化对于其最大功率的影响,寻找影响LED散热的关键因素。研究方法为有限元热分析法。该方法已有实验验证了LED有限元模型与其真实器件之间的差别,证明其在误差许可范围内是准确可行的。
建立模型
1有限元热分析理论
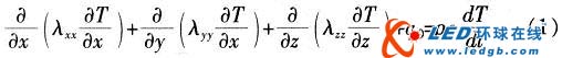
三维直角坐标系中的瞬态温度场场变量T(x,y,z,t)满足:

式中:T/x,T/y,T/z为沿x,y,z方向的温度梯度;λxx,λyy,λzz为热导率;q0为单位体积的热生成;ρc是密度与比热容的乘积:dT/dt为温度随时间的变化率。
式中:Vx,Vy,Vz为媒介传导速率。
![]()
对于稳态热分析而言,T/t=0,式(1)可化简为:
![]()
根据式(3)、边界条件与初始条件,利用迭代法或者消去法求解,得出热分析结果。
2几何模型的建立
图1为依据常见1w大功率LED尺寸建立并简化、海鸥翼封装铝热沉的大功率LED图形,底座接在MCPCB铝基板上。主要数据:芯片尺寸为1mm×1mm×O.25mm,透镜为直径是13mm的半球。硅衬底为边长17mm,高0.25mm的正六棱柱,MCPCB为直径20mm,高1.75mm的六角星形铝质基板。

3有限元模型的建立
模型采用ANSYSl0.0计算,为方便分析,假设模型:
LED输入功率为1W,光效率取10%;封装体外部的各组件(包括MCPCB、陶瓷封装、热沉的外部)通过与空气的对流散热;器件与外界的热对流系数为20.工作环境温度为25℃;器件满足使用ANSYS软件进行稳态有限元热分析的条件;最大结温选择为125℃。各种材料的参数如表1所示。

分析各种因素对于散热能力的影响
1热辐射系数对LED散热的影响
图2为表面黑度为0.8时的温度云图。根据斯蒂芬-玻耳兹曼定律,辐照度j*与温度T之间的关系:j*=εσT4.其中ε为黑体的辐射系数;σ=5.67×10-8w/(m2?k4),称为斯蒂芬-玻耳兹曼常数。因此可知,温度越高,辐照度越大。当输入功率为1W时,经由表面辐射散出的热能为7.63×10-4W,仅占总热功率的1.63‰;功率达到2W时,经辐射散出的热能也仅占6.33‰。因此改变热辐射系数对于提高散热能力改善成效不大,散热的关键在于提高另外两种散热方式:热传递和热对流。尽管如此,仍有一些厂家将LED器件的外表面涂成黑色,以期最大限度地利用辐射散热。

2热导率对LED的散热的影响
只考虑热传导与对流,改变不同封装填充材料如硅树脂。得出结果,如图3所示。即使找到一种热导率高达7Wm-1K-1的环氧树脂成分封装材料时,相比使用热导率为0.25Wm-1K-1的环氧树脂成分封装材料时,芯片温度下降不多,铝基板温度只下降了2.271℃,最大功率仅提高了0.69W.实际上,热导率值超过7Wm-1K-1以上、可商业化的透明硅树脂封装材料目前尚无文献报导。分布云图如图4所示。

表2给出透镜热导率为0.2Wm-1K-1时,不同热沉材料的导热系数对于LED最大功率影响。由表2看出,热沉材料对于LED的最大散热能力的影响很小。

综上所述,热导率变化对LED最大功率影响微弱。
3增加散热面积对LED散热的影响
表3为3种不同散热方式对LED的温度分布、最大功率的影响。可以看出,增加散热面积是很好的散热方式,可以轻易地提高LED器件散热能力,这是目前LED产品所普遍使用的散热方式之一。然而缺点也很明显:影响成本、增加产品重量、影响封装密度。无限度地提高LED散热片面积显然不现实,因此一般使用1.5inch2散热片提升LED产品最大功率至10W左右,出于成本等因素就不能继续提高。

4对流方式对LED散热的影响
常见对流散热方式有两种:自然对流和强制对流。固定结构的散热与表面传热系数有关。空冷方式时,不同传热系数对最大功率的影响如图5所示。强对流方式在一定速度内会大大提高LED产品的散热能力,有助于提高散热效果。

综上所述,无论是增加散热面积还是增加对流速度都不能无限制地提高散热能力,其原因在于:当散热结构、方式固定后,即使LED导热率有所上升,也无法真正大幅度降低芯片温度;事实证明增加散热面积,可以促进散热。但由于成本限制,且不可能无限制地增加散热面积,因此,要提升LED产品的散热能力,关键要在最大努力增加散热面积时,寻找一种可以快速将上表面热量带走的散热方式。
利用ANSYS软件对大功率LED进行三维有限元热分析,并绘制了其受不同因素影响时器件的温度云图,通过比较各种因素对散热性能的影响,得出结论:在经过必要的选材优化后,对于材料热导率的追求只是对提高LED散热能力细枝末节地修改,想要大幅度地提高LED的散热能力,关键是增加散热面积与改变散热方式。


